合作客戶/
拜耳公司 |
同濟大學 |
聯合大學 |
美國保潔 |
美國強生 |
瑞士羅氏 |
相關新聞Info
-
> 電暈對BOPP薄膜表面張力、化學結構、元素組成的影響
> 油藏環境中離子強度與類型、溫度對烷基苯磺酸鹽溶液油水界面張力的影響
> 無機鹽濃度對HPAM不同復配體系降低界面張力能力的影響(二)
> 拉筒法和靜滴法測定連鑄結晶器保護渣表面張力(二)
> Langmuir槽法研究不同電性Gemini表面活性劑對界面吸附膜性質的影響(一)
> 含氟聚氨酯超疏水涂層表面性能、化學穩定性、耐摩擦性能研究——摘要、實驗部分
> Delta-8使用新方法測試CMC,而不是表面張力測試法——方法
> 改性環氧樹脂乳液型碳纖維上漿劑制備、表面張力、黏度等性能測試(三)
> 酯化度與分子質量對果膠乳化性能、聚集體結構、界面性質的影響規律(一)
> 表面活性劑在除草劑噴霧助劑中應用及主要增效機制
推薦新聞Info
-
> CO2泡沫穩定性原理、影響因素|CO2-EOR機理與應用前景(四)
> CO2泡沫穩定性原理、影響因素|CO2-EOR機理與應用前景(三)
> CO2泡沫穩定性原理、影響因素|CO2-EOR機理與應用前景(二)
> CO2泡沫穩定性原理、影響因素|CO2-EOR機理與應用前景(一)
> 球擬假絲酵母菌合成槐糖脂類表面活性劑、降解含油廢水的表面張力(三)
> 球擬假絲酵母菌合成槐糖脂類表面活性劑、降解含油廢水的表面張力(二)
> 球擬假絲酵母菌合成槐糖脂類表面活性劑、降解含油廢水的表面張力(一)
> 碳微球及氨基化碳納米管組裝單元的有序LB膜制備與性能研究
> 過氧化氫氧化處理堿木質素對合成表面活性劑表面張力的影響(二)
> 過氧化氫氧化處理堿木質素對合成表面活性劑表面張力的影響(一)
仲醇聚氧乙烯醚硫酸鹽平衡和動態表面張力及應用性能研究(二)
來源:中國洗滌用品工業 瀏覽 994 次 發布時間:2024-10-24
2結果與討論
2.1光學微流變分析
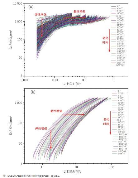
微流變可以通過跟蹤粒子的布朗運動獲得均方位移(mean square displacement,MSD)值測量樣品的黏彈性特性。從圖1中可以看出,隨著樣品老化時間的增加,SAES和AES的MSD曲線都是首先由長位移向短位移轉變,即彈性增加,粒子間碰撞增加;去相關時間由短向長的MSD曲線變化,表明二者的黏度增加。SAES和AES在樣品老化過程中,其結構都發生了變化,黏彈性都有所增加。從圖1中還可以看出,SAES和AES的黏彈性差別較大,在老化過程中SAES黏彈性變化較小,而AES的黏彈性變化較大。
圖1 SAES與AES的均方位移曲線(a)SAES;(b)AES。
圖2(a)為SAES和AES的彈性因子(EI)隨時間變化曲線。從圖中可以看出,隨著時間的增加,AES的彈性因子逐漸增大,說明在樣品放置過程中其結構明顯增強;而SAES的彈性因子基本不發生變化,說明在樣品放置過程中其結構基本不發生變化。這可能是因為AES的親水基SO4-基團位于碳氫鏈的端點,而SAES的SO4-基團位于疏水鏈的中間位置,相比AES,SAES結構中存在支鏈,粒子間相互作用較差。AES的最終彈性因子為1.77×10-2nm-2,明顯高于SAES的最終彈性因子9.10×10-4nm-2。
圖2 SAES與AES的彈性因子(a)和宏觀黏度因子(b)隨時間變化曲線
圖2(b)為SAES和AES的宏觀黏度因子(MVI)隨時間變化曲線。粒子移動到一定距離的時間越長,表示液滴運動速度越低,MVI值越高,相應地樣品的黏度越高,體系的結構越強。從圖中可以看出,隨著時間的增加,SAES和AES的宏觀黏度因子都有所增加,但增加的幅度不大。AES的最終宏觀黏度因子為4.21×10-2nm-2·s,遠遠高于SAES的最終宏觀黏度因子6.91×10-5nm-2·s。在實際應用過程中,黏度更低的SAES使用更為方便。
2.2表面張力
2.2.1平衡表面張力
圖3為SAES和AES水溶液的表面張力隨濃度變化曲線。從圖中可以看出,隨著SAES和AES水溶液濃度的增加,表面張力都逐漸降低,這意味著在界面上開始出現緊密排列,到達cmc以后,表面張力不再變化,為一常數,說明在體相內已經形成了聚集體。根據公式1和公式2可以得出表面活性劑在氣液界面的飽和吸附量Гmax和最小分子截面積Amin。根據Dahanayake等提出的吸附效率pC20的物理意義,即得溶劑表面張力降低20 mN/m時所需表面活性劑濃度的負對數,根據公式3可以計算出表面活性劑的pc20值。pc20是度量表面活性劑表面活性的一個重要參數,其值越高說明表面活性劑的吸附效率越高。
圖3 25℃時SAES和AES水溶液的表面張力隨其濃度的對數變化曲線
式中n是一個常數,對于1∶1型離子型表面活性劑,其在水溶液中以表面活性離子和反離子的形式存在,根據電中性原則,正離子與負離子的吸附量相等,式中n=2。R為氣體常數8.314 J/(mol·K),T為絕對溫度K,NA為阿伏伽德羅常數6.02×1023,C20為當水的表面張力降低20 mN/m時所需表面活性劑的濃度。由表面張力曲線得到AES和SAES的表面性質相關數據如表1所示。從表1可以看出,AES溶液的cmc和γcmc分別為0.45 mmol/L和30.77 mN/m,該值與文獻報道的AES的cmc(0.33 mmol/L)和γcmc(33~34 mN/m)數值接近。SAES的cmc和γcmc分別為0.42 mmol/L和27.71 mN/m。SAES和AES的cmc值基本一致,這可能是由于二者具有相同的碳原子數,分子之間的疏水相互作用基本相同所致。相比AES,SAES由于支化結構的存在,增加了表面活性劑分子在水表面的覆蓋率,從而使γcmc有所降低。這與一些文獻報道的支鏈型表面活性劑降低表面張力的能力優于直鏈型的結果相一致。支鏈化的結構也使其Amin增大,Гmax減小。
表1 25℃時SAES和AES的表面活性參數
2.2.2動態表面張力
對某一濃度表面活性劑溶液,達到吸附平衡前某一時刻的表面張力稱為動態表面張力(dynamic surface tension,DST),在某些體系中動態表面張力比平衡表面張力更重要。如在涂膜過程中,新表面不斷形成,若表面張力降低速度緩慢,就會導致涂布不均勻等。因此研究表面張力隨時間的變化具有十分重要的意義。本實驗通過最大泡壓法分別測定了25℃下兩種表面活性劑在水溶液中的吸附行為。結果如圖4所示。
圖4 25℃時不同濃度的SAES和AES水溶液的動態表面張力(a)SAES;(b)AES。
從圖4可以看出所測不同濃度不同表面活性劑的表面張力在初始階段均快速下降,一定時間后趨于平穩狀態。這是因為動態表面張力測試過程中新形成的表面遠偏離于平衡態,吸附層離子的濃度很低,體相與吸附層的濃度差大,因此動態表面張力變化很大。隨著吸附的進行,次表面濃度和表面濃度逐漸增大,擴散和吸附的速度均逐漸降低,動態表面張力隨著吸附時間的增加而降低的趨勢也逐漸變得平緩。當表面活性劑濃度增大時,表面張力的下降幅度和速度也隨之增大,而且相應地縮短了到達平衡狀態的時間。這種隨體系濃度的增加達到平衡所需的時間越短的趨勢與已經報道的一些烷基表面活性劑的結果是相一致的。在相同濃度下,SAES表面張力下降的速率大于AES,這是由于SO4-在碳氫鏈中間的化合物比在端點者擴散速度快。
當溶液濃度較小時,可以采用Ward-Tordai方程來描述溶液體相與次表面之間的傳質過程:
從該公式中可以看出后一項含有卷積積分,使此方程不可解。
當t→0時,屬于短時吸附過程,由公式4可轉化為公式5:
式中,γt指時間t時的表面張力(mN/m);γ0為去離子水的表面張力(mN/m);SAES和AES為1∶1型陰離子表面活性劑,則n=2,Ds為短時吸附過程的擴散系數(m2/s);R為氣體常數8.314 J/(mol·K),T為絕對溫度K。
當t→∞時,此過程屬于長時吸附過程,可由公式4轉化為公式6:
結合Gibbs方程,可演變成公式7:
式中,γeq為t→∞時的表面張力(mN/m);Г為表面過剩量;Гeq為平衡表面過剩量;Dl為長時吸附過程的擴散系數(m2/s)。
圖5和圖6分別為不同濃度的SAES溶液和AES溶液的γt隨t1/2與t-1/2的變化曲線圖。分別對其進行擬合,當t→0時,γt與t1/2呈直線關系,直線的截距為溶劑水的表面張力;當t→∞時,γt與t-1/2也呈直線關系,直線的截距為不同濃度下表面活性劑水溶液的平衡表面張力。通過求直線部分的斜率可以得出Ds、Dl值及相應的比值。結果列于表2中。由表2可以看出,隨濃度的增加,Ds與Dl均減小,這是因為隨著濃度的增大,分子間靜電斥力作用增大,從而使得分子的自由運動受到限制。通過比較SAES和AES的Ds值可以發現,SAES的Ds值均大于AES,說明SAES在吸附初期的吸附擴散速率較快;SAES的Dl值均小于AES,說明SAES在吸附后期由于空間位阻等的效應使得吸附勢壘更高。Ds與Dl的比值遠小于1,這意味著Ds與Dl差別比較大,說明吸附后期為混合動力控制吸附。
表2 25℃時不同濃度的SAES和AES水溶液的擴散系數及其比值
圖5 25℃時不同濃度的SAES和AES水溶液的動態表面張力隨t1/2的變化(a)SAES;(b)AES。
圖6 25℃時不同濃度的SAES和AES水溶液的動態表面張力隨t-1/2的變化(a)SAES;(b)AES。





