合作客戶/
拜耳公司 |
同濟大學 |
聯合大學 |
美國保潔 |
美國強生 |
瑞士羅氏 |
相關新聞Info
-
> 氟硅表面活性劑(FSS)水溶液表面張力、發泡力、乳化力測定(二)
> 以大豆為原料合成的N-椰子油酰基復合氨基酸表面活性劑表面張力、乳化起泡潤濕性能測定(二)
> 單層膜界面上亞微米顆粒表面張力阻力系數修正——摘要、引言
> 三元復合體系的界面擴張黏彈性對水驅后殘余油的乳化作用——結論
> 硅丙乳液質量分數與粘度、表面張力的關系及在模擬病害壁畫修復中的應用(三)
> 拉筒法和靜滴法測定連鑄結晶器保護渣表面張力(一)
> 無機鹽濃度對HPAM不同復配體系降低界面張力能力的影響(二)
> 可視化實驗方法研究電場作用下液滴撞擊表面的動態行為(二)
> 溶液針鐵礦法沉鐵方法,如何確定表面張力等參數值
> 表面張力輔助制造陶瓷厚膜,突破傳統陶瓷膜制備方法的局限
推薦新聞Info
-
> CO2泡沫穩定性原理、影響因素|CO2-EOR機理與應用前景(四)
> CO2泡沫穩定性原理、影響因素|CO2-EOR機理與應用前景(三)
> CO2泡沫穩定性原理、影響因素|CO2-EOR機理與應用前景(二)
> CO2泡沫穩定性原理、影響因素|CO2-EOR機理與應用前景(一)
> 球擬假絲酵母菌合成槐糖脂類表面活性劑、降解含油廢水的表面張力(三)
> 球擬假絲酵母菌合成槐糖脂類表面活性劑、降解含油廢水的表面張力(二)
> 球擬假絲酵母菌合成槐糖脂類表面活性劑、降解含油廢水的表面張力(一)
> 碳微球及氨基化碳納米管組裝單元的有序LB膜制備與性能研究
> 過氧化氫氧化處理堿木質素對合成表面活性劑表面張力的影響(二)
> 過氧化氫氧化處理堿木質素對合成表面活性劑表面張力的影響(一)
高鹽油藏下兩性/陰離子表面活性劑協同獲得油水超低界面張力的方法(二)
來源:物理化學學報 瀏覽 893 次 發布時間:2024-12-03
3、結果與討論
3.1兩性表面活性劑溶液與原油的動態界面張力
兩性表面活性劑HDAPS在室溫和60°C鹽水中均具有很好的溶解性,如在礦化度為20000 mg·L-1,其中Mg2+和Ca2+總濃度為1000 mg·L-1時,HDAPS溶液長時間放置均不會產生沉淀,這表明HDAPS與高鹽礦化水具有非常好的相容性。在60°C時,以模擬礦化水配制的不同濃度HDAPS溶液與原油的界面張力(IFT)隨時間變化的動態界面張力(DIT)曲線如圖1所示。從圖中可以看出,在HDAPS濃度為0.07%-0.39%(質量分數)范圍內,動態界面張力最低值(DITmin)可以達到10-2mN·m-1量級,并不能達到超低界面張力。而且,隨著測試時間的增長,界面張力逐漸升高到10-1mN·m-1量級。
圖1不同濃度表面活性劑HDAPS溶液與原油的動態界面張力(DIT)
3.2兩性/陰離子表面活性劑混合體系與原油的動態界面張力
3.2.1表面活性劑濃度對動態界面張力的影響
單一兩性表面活性劑HDAPS并不能使油水界面張力降到超低水平,因此,通過陰離子型表面活性劑SDS與HDAPS復配,考察HDAPS/SDS混合體系與原油的界面張力。首先,定義陰離子型表面活性劑的摩爾分數(X)為,
此處,c為表面活性劑的摩爾濃度。X為0.25時,不同表面活性劑總濃度下,HDAPS/SDS混合體系與原油的界面張力隨時間的變化如圖2所示。從圖中可以看出,與HDAPS/油/水動態界面張力相比,HDAPS/SDS混合體系與原油的動態界面張力表現出兩個顯著的不同點。首先,HDAPS/SDS混合體系的界面張力隨測定時間的增長逐漸降低至基本不變,即動態界面張力的最低值DITmin與平衡值DITeq相同,且達到平衡界面張力的時間非常短,小于12 min;其次,在表面活性劑總濃度僅為0.01%時,體系就可以達到9.7×10-3mN·m-1的超低界面張力;繼續增加表面活性劑的總濃度超過0.04%后,體系的界面張力可以達到極低的10-5mN·m-1量級。
圖2不同濃度HDAPS/SDS(X=0.25)混合表面活性劑溶液與原油的動態界面張力
3.2.2礦化度對動態界面張力的影響
配制溶液所用的是高礦化度且含有高濃度二價金屬離子的模擬礦化水,從上面的實驗結果中看出,HDAPS/SDS混合體系在高鹽條件下可以與原油達到超低界面張力。考慮到在實際應用過程中地層水的礦化度可能發生變化,恒定模擬水中Na+、Mg2+和Ca2+中兩種金屬離子的濃度,考察了Na+、Mg2+和Ca2+濃度變化對HDAPS/SDS混合體系與原油界面張力的影響,實驗結果如圖3所示。從圖中可以看出,模擬水中Na+濃度在1500-4500 mg·L-1、Mg2+濃度在120-360 mg·L-1和Ca2+濃度在200-800 mg·L-1范圍內變化時,HDAPS/SDS混合體系與原油的界面張力均可達到超低界面張力,這說明在高礦化度和高濃度二價金屬離子條件下,HDAPS/SDS混合體系也表現出非常優異的界面活性。
圖3金屬離子濃度對HDAPS/SDS混合表面活性劑溶液與原油的動態界面張力的影響
綜合上面的結果,HDAPS/SDS混合體系與原油的界面張力行為具有如下的特點:
第一,HDAPS/SDS混合體系可以在無堿條件下與原油達到超低界面張力。HDAPS/SDS混合體系作為驅油劑不僅可以獲得利于提高剩余油洗油效率的超低界面張力,而且可以避免堿劑引起的一系列問題。
第二,HDAPS/SDS混合體系具有優異的耐鹽性能。在高礦化度和高Mg2+、Ca2+濃度下,HDAPS/SDS體系能夠與模擬礦化水具有很好的相容性并與原油能夠形成超低界面張力,使得該體系能夠滿足高鹽油藏提高采收率技術的需求。
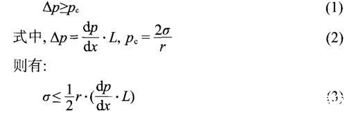
第三,HDAPS/SDS混合體系的動態界面張力達到超低界面張力的時間非常短,且能夠在極低的平衡界面張力下維持。由于在實際驅油過程中,驅油體系是在流動的狀態下與原油接觸,在短時間內達到超低界面張力,對原油從巖石上啟動非常有利。而且,HDAPS/SDS混合體系與原油的界面張力在總濃度超過0.04%后就可以達到極低的10-5mN·m-1量級。對于存在于半徑為r的毛細管中長度為L的剩余油滴,當油滴兩端的驅動壓差Δp大于等于毛細管壓力pc時,剩余油滴才能夠活化啟動,7即有:
則有:
式中σ為油水界面張力,r為孔隙介質毛細管半徑。從式(3)中可以看出,在驅動壓力梯度(dp/dx)和油滴長度(L)一定的情況下,油水界面張力越低,可以活化的孔隙介質毛細管半徑越小。界面張力達到10-5mN·m-1量級則可以活化低滲透率或超低滲透率油層,這表明HDAPS/SDS混合溶液將有利于大幅度提高低滲或超低滲透率油層的采收率。
第四,HDAPS/SDS混合體系可以在非常寬的濃度范圍內和低濃度下與原油達到超低界面張力,這對于該體系應用于提高采收率是非常重要的。由于表面活性劑在巖石表面存在吸附損失和稀釋效應,現場實際應用中需要注入比室內研究中獲得最優界面張力的濃度更高的表面活性劑溶液。獲得較好的驅油效果要求體系在注入濃度下與原油形成超低界面張力,并具有良好的抗稀釋性。而以往室內研究獲得的大多數表面活性劑驅油體系存在一個重要問題是達到超低界面張力的濃度范圍窗口非常窄,26在注入和地層中流動過程中很難維持超低界面張力。HDAPS/SDS混合體系在濃度為0.01%-0.37%時均可與原油形成超低界面張力,表明體系的濃度窗口非常寬。而且,0.01%的HDAPS/SDS混合體系與原油形成超低界面張力也能夠有效降低驅油體系的成本,具有重要的應用價值。





