合作客戶/
拜耳公司 |
同濟大學 |
聯合大學 |
美國保潔 |
美國強生 |
瑞士羅氏 |
相關新聞Info
推薦新聞Info
-
> 雙子型起泡劑ULT-1的分子結構式、表面張力、抗溫/抗鹽性能及煤樣潤濕性變化——結果與討論、結論
> 雙子型起泡劑ULT-1的分子結構式、表面張力、抗溫/抗鹽性能及煤樣潤濕性變化——實驗
> 雙子型起泡劑ULT-1的分子結構式、表面張力、抗溫/抗鹽性能及煤樣潤濕性變化——摘要
> 挪威云杉樹脂臨界表面張力及Hamaker常數推算
> 水浸提提取肥皂莢皂苷水溶液最低表面張力及影響因素分析——結果與討論、結論
> 水浸提提取肥皂莢皂苷水溶液最低表面張力及影響因素分析——摘要、材料與方法
> 3種不同類型噴霧助劑對氟啶蟲胺腈藥液表面張力及在蘋果葉片潤濕持留性能測定(三)
> 3種不同類型噴霧助劑對氟啶蟲胺腈藥液表面張力及在蘋果葉片潤濕持留性能測定(二)
> 3種不同類型噴霧助劑對氟啶蟲胺腈藥液表面張力及在蘋果葉片潤濕持留性能測定(一)
> 雙締合型穩泡劑及其制備方法和應用
拉脫法測量液體表面張力系數實驗原理、缺點及改進方法
來源:九江學院學報(自然科學版) 瀏覽 77 次 發布時間:2025-08-19
液體表面張力系數常用拉脫法進行測量,此法雖然操作簡單、方便快捷,但測量中存在的問題和不足之處往往會對實驗結果產生一定的影響。研究表明,對實驗方法和實驗儀器加以改進,能夠較明顯地減少拉脫法測量液體表面張力系數產生的誤差,有效地提高了實驗教學的效果。
液體表面張力是由于液體表面層內液體分子受力不平衡引起的,液體表面層內分子受到了一個指向液體內部的合引力作用,使得液體表面具有自動收縮的趨勢。因此液體表面就像一張被繃緊了的橡皮膜,使得表面層內不同部分之間有張力存在,這種張力就稱為液體表面張力。液體表面張力大小跟液體的表面張力系數以及液面分界線的長度有關,液體的表面張力系數是表征液體性質的一個重要參數,跟液體的種類、溫度、純度以及液面上方氣體的成分有關。液體表面張力對建筑、船舶制造、化學化工、水利等行業都有較大的影響,所以,準確的測量液體的表面張力系數具有重要的意義。
測量液體表面系數的常用方法有毛細管法、U型管法、最大氣泡壓力法和拉脫法等,其中拉脫法具有方便快捷、操作簡單的特點,所以目前很多高校實驗室都采用這種方法來測量液體表面張力系數。
1實驗原理
拉脫法測量液體表面張力系數所使用的實驗裝置是FD-NST-I型液體表面張力系數測定儀,這套儀器由硅壓阻力敏傳感器、數字電壓表、支架、金屬吊環、片碼等組成。
拉脫法測量液體表面張力系數的方法是:把金屬吊環固定在力敏傳感器上,升高液面,使金屬吊環底部完全浸入在液體中,然后緩慢降低液面,使吊環逐漸從液面拉脫,吊環拉出液柱破裂瞬間前后力的差值就是液柱的兩個液面表面張力的大小,可表示為:
F=π(D1+D2)α⑴
其中,α為液體的表面張力系數,D1、D2分別為金屬吊環的內、外徑。
此時,由數字電壓表讀出的電壓差值為ΔU。關于硅壓阻力敏傳感器的工作原理,簡單來說就是利用電橋電路把力的大小改變轉換成電信號的變化反映出來,即被測試件受力的大小跟與力敏傳感器連接的數字電壓表的讀數大小成正比,可表示為:
F=ΔU/K⑵
其中K是力敏傳感器的靈敏度。
由⑴式、⑵式可以得出:
α=ΔU/π(D1+D2)K⑶
實驗表明,α的大小與液體的種類、純度、溫度及液體表面接觸的氣體成分有關,只要上述條件不變,則α應為常量。因此,在測量液體的表面張力系數時,一定要記下測量時的液體溫度、種類及純度。
2實驗存在的不足
拉脫法相比其他方法操作簡單易行,實驗利用靈敏度較高的力敏傳感器來測量力的大小,相比傳統的實驗方法已經有了很大的進步。但是,此法仍存有不足和需要改進的地方,主要集中在以下兩點:
2.1力敏傳感器的靈敏度測量
實驗過程中首先要對力敏傳感器定標,即測出力敏傳感器的靈敏度,力敏傳感器的靈敏度測量是否準確直接影響液體表面張力的大小是否準確,如何盡量減少靈敏度的測量誤差是個非常重要的問題。通常測量力敏傳感器靈敏度的方法是依次往吊盤里增加片碼的個數,分別記錄電壓表的數值,然后用曲線擬合的方式得出曲線斜率也即靈敏度的大小,因片碼質量較小,力敏傳感器靈敏度較高,學生操作不熟練造成的吊盤晃動等人為因素會對實驗結果的準確性產生很大的影響。
2.2吊環的水平程度
FD-NST-I型液體表面張力測定儀的設計是把金屬吊環浸入待測液體,測量過程中吊環的水平程度對實驗結果有很大的影響,測量時如果吊環偏差1°,測量結果就會引入誤差0.5%,偏差2°,就會引入誤差1.6%[5]。偏差越大,引入的誤差百分比將更高?,F有儀器中的吊環是否水平要通過3根細金屬絲來調節,要求學生做實驗時要耐心精細。但在調節的過程中,學生僅僅通過目測憑感覺調節,這對于男生比較多的理工科學生來說不但嚴謹程度不足,而且操作難度較大,實驗很難達到理想的效果。
3實驗的改進
3.1力敏傳感器的靈敏度測量改進方法
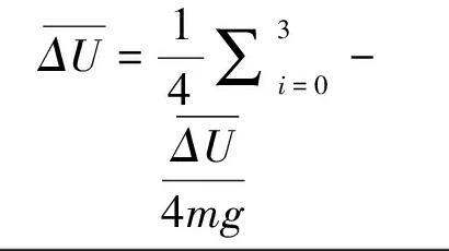
對于力敏傳感器靈敏度的測量,保持不增加實驗成本的原則,采用多次測量,先依次增加片碼個數,再依次減少片碼個數的方法平均人為誤差,然后用逐差法求得力敏傳感器的靈敏度,具體測量數據如表1所示。
根據測量數據得出Ui的平均值,用逐差法求得ΔU的平均值:
表1力敏傳感器的靈敏度測量數據
3.2吊環的水平程度改進方法
針對金屬吊環難以調節水平的問題,把金屬吊環進行了改裝。首先把3根金屬細絲換成3根韌性很好的輕質細線,讓輕質細線上端固定打結,可以方便的掛在力敏傳感器的吊鉤上,3根輕質細線與金屬環分別用3個可旋轉的螺絲連接,通過調節螺絲可以很方便的調節細線的長度。為了力求準確,在細線打結的位置垂出另一根輕質細線,細線下方可懸掛一個小金屬塊,做成一個吊錘,同學們可以通過觀察吊錘是否垂直來調節細線的長度,從而達到使金屬吊環調節水平的目的,又因為力敏傳感器要求所測量的力不能過大,所以小金屬塊在吊環調節水平以后可以摘下來。改進后的吊環如圖1所示:
圖1改裝后的吊環
3.3改進前后實驗結果對比
用原有的金屬吊環測量純水在25℃時的液體表面張力系數的數據見表2。
表2原有金屬吊環測量液體的表面張力系數數據表(水溫25℃)
利用原有吊環測量出的實驗數據,可以計算出純水在25℃時液體的表面張力系數平均值是74.33×10-3N/m,跟25℃時純水的液體表面張力系數公認值72.00×10-3N/m相比,相對誤差為3.2%。由此數據可以看出,沒有經過改造的吊環,容易使液柱提前破裂,因為液柱沒有得到足夠拉伸,從而造成測出的液體表面張力系數偏大。
用改進后的金屬吊環測量純水在25℃時的液體表面張力系數,具體測量數據見表3。
表3改進后金屬吊環測量液體的表面張力系數數據表(水溫25℃)
根據測量數據,計算得出用改進后吊環測出的純水在25℃時液體的表面張力系數平均值是71.79×10-3N/m,在25℃時純水的液體表面張力系數公認值為72.00×10-3N/m,相對誤差為0.3%。
4結論
通過依次增加片碼個數和依次減少片碼個數的方法,多次測量以后平均了人為誤差,再利用逐差法比較準確的對力敏傳感器進行定標,為后續較精確的測量液體表面張力系數奠定了基礎。通過對金屬吊環的改進,可以很容易的把金屬吊環調節至理想水平,測量精度比使用原來的儀器時也提高了很多,并且因為改進后的儀器操作更加簡單,學生的實驗熱情也得到了大大的提高。





