合作客戶/
拜耳公司 |
同濟大學 |
聯合大學 |
美國保潔 |
美國強生 |
瑞士羅氏 |
相關新聞Info
-
> 平面流動皂膜表面張力系數、厚度和流動速度實驗裝置及測量方法(二)
> R1336mzz(Z))純質與POE潤滑油組成的混合物的表面張力測定
> 生物表面活性劑產生菌的篩選及對PAHs污染環境的修復效果研究(三)
> 膠凝材料對引氣劑溶液表面張力的影響
> 界面張力儀測量方法與標準
> 水與瓦斯煤之間的表面張力計算方法及動態潤濕機理研究(三)
> 氣液液微分散體系的微流控制備方法及在稀土離子萃取領域的應用(下)
> 人胰島素的朗繆爾單分子層膜的表面化學和光譜學性質——結果和討論
> 水成膜泡沫滅火劑之氟碳表面活性劑YM-316復配性能及表面張力測定(上)
> 篩選常用、經濟且可抑制低階煤煤塵的表面活性劑(三)
推薦新聞Info
-
> ?《Nature》論文致謝欄常客:超微量天平的生物膜研究顛覆性應用
> Na2CO3溶液與模擬油反應不同時間后產物的界面張力、剪切黏度(二)
> Na2CO3溶液與模擬油反應不同時間后產物的界面張力、剪切黏度(一)
> 耐擦刮無膠消光膜制備方法、高表面張力與收解卷順暢性的平衡(二)
> 耐擦刮無膠消光膜制備方法、高表面張力與收解卷順暢性的平衡(一)
> 利用超微量天平制備微孔淀粉處理含Cu(II)離子染料廢水
> 不同類型的堿、pH值對孤東油田原油界面張力的影響(下)
> 不同類型的堿、pH值對孤東油田原油界面張力的影響(上)
> 不同結晶結構的脂肪晶體顆粒界面自組裝行為、儲藏穩定性研究
> 新型POSS基雜化泡沫穩定劑表面張力測定及對泡沫壓縮性能的影響(三)
誰的表面張力更大?
來源:李傳亮 瀏覽 1460 次 發布時間:2022-06-20
從前發過一個帖子“好大的泡泡“,帖了兩張吹的比人還大的肥皂泡泡供大家娛樂消遣,并說了大泡泡的表面張力也會很大的意思。
有網友提出了不同看法,說大泡泡的表面張力不是很大,應該很小,表面張力小才容易起泡,增加表面積做功才最少。
他們的說法似乎也有道理,一個泡泡圖片引發了大家的思考,是一件很好的事情。
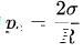
我是這樣分析泡泡的受力情況的,圖中的泡泡不是人吹的,而是風吹的,泡泡的內外都是空氣,但里面的壓力肯定比外面的壓力高,二者的差值為泡泡的附加壓力,也就是人們常說的毛管壓力。由于風是固定的,因此附加壓力的數值也是一樣的。在相同的附加壓力下,是大泡泡的表面張力大,還是小泡泡的表面張力大呢?
由于附加壓力
,曲率半徑越大,表面張力[公式]也就越大,因此,只有表面張力較大的液體才能吹成更大的泡泡。若表面張力較小,還沒等吹大就破了。表面張力與固體材料的應力強度極為相似,都是破裂時的力學性質。
我沒有深入研究過表面化學,一時也找不到更好的解釋,請大家討論一下吧,看誰能給出更好的答案,期待中。。。





