合作客戶/
拜耳公司 |
同濟大學 |
聯合大學 |
美國保潔 |
美國強生 |
瑞士羅氏 |
相關新聞Info
推薦新聞Info
-
> 耐擦刮無膠消光膜制備方法、高表面張力與收解卷順暢性的平衡(二)
> 耐擦刮無膠消光膜制備方法、高表面張力與收解卷順暢性的平衡(一)
> 利用超微量天平制備微孔淀粉處理含Cu(II)離子染料廢水
> 不同類型的堿、pH值對孤東油田原油界面張力的影響(下)
> 不同類型的堿、pH值對孤東油田原油界面張力的影響(上)
> 不同結晶結構的脂肪晶體顆粒界面自組裝行為、儲藏穩定性研究
> 新型POSS基雜化泡沫穩定劑表面張力測定及對泡沫壓縮性能的影響(三)
> 新型POSS基雜化泡沫穩定劑表面張力測定及對泡沫壓縮性能的影響(二)
> 新型POSS基雜化泡沫穩定劑表面張力測定及對泡沫壓縮性能的影響(一)
> 多功能膜材研發:界面張力已成為整套工藝鏈協同下動態演化的核心控制點
合成脂質體類姜黃素納米粒子的自組裝——結果和討論
來源:上海謂載 瀏覽 2379 次 發布時間:2021-11-18
三、結果和討論
圖1顯示了核殼顆粒組裝的SEM圖像。這清楚地顯示了直徑為158±5 nm的球形顆粒(粒徑的高斯分布在插圖A中給出),具有暗芯和淺電暈(插圖B)。典型的磁芯直徑約為100 nm,電暈寬度約為40 nm。通過光散射實驗確定了組件的直徑。光散射數據分析得出的直徑為100–200 nm,最大顆粒數的直徑為161±10 nm,這與從SEM數據獲得的尺寸一致(從DLS獲得的顆粒尺寸的高斯分布在ESI?圖S2中給出)。EDAX結果證實了粘土片在組件中的位置。圖2(A)和(B)顯示了給定結構在兩個不同位置(xP1和xP2)的能量色散分布。它們清楚地顯示了核心(xP1)內不存在硅(粘土結構中的主要元素之一),以及日冕(xP2)中硅的豐度。33,34這證實了粘土片被排除在這些結構的核心之外。因此,可以得出結論,核心是疏水的,主要含有姜黃素納米顆粒(姜黃素不溶于水),而外殼(電暈)具有自組裝血小板的傾向(LAPONITE®不溶于乙醇)。因此,我們有一個結構,其中的核心是一個有機相(乙醇)周圍的水暈。由于其溶解性偏好,姜黃素納米顆粒和LAPONITE®血小板分別優先位于有機相和水相。
圖1顯示由納米粘土(0.05%)和姜黃素納米顆粒形成的粘土小體組裝體的SEM圖像。插圖(A)顯示了粘粒的高斯粒度分布(從SEM圖像獲得)。發現大多數粘土體(核-殼)顆粒的直徑為158±5 nm。插圖(B)顯示了由納米粘土殼和殼厚度為40 nm的姜黃素納米顆粒核形成的單個粘土體。
圖2粘土體結構的EDAX光譜,描繪了電暈中納米粘土(含高百分比硅含量)和核心內姜黃素納米顆粒(不含硅含量)的存在。請注意,“x”表示EDAX測量點。
使用電泳法測量核殼姜黃素納米顆粒表面的靜電電位(zeta電位)(圖3(A))。值得注意的是,姜黃素和納米粘土均受臨界平衡斥力的控制,而不考慮姜黃素和納米粘土在界面處具有相同極性(負)的zeta電位。關于復雜系統中負責穩定性的不同力的更多細節將在后面的章節中進行理論討論。此外,還測量了分散體的zeta電位,作為室溫下納米粘土濃度的函數。該電位隨著系統中納米粘土濃度的增加而增加(圖3(B))。最初,當納米粘土濃度較低時,電暈較薄,這有利于形成穩定的粘粒組裝體,這進一步得到較高zeta電位值的支持。隨著納米粘土濃度的增加,電暈尺寸增加(>100nm),zeta電位也發生了同樣的情況,這反過來又在復雜系統中產生了不穩定性。
圖3(A)描繪姜黃素、納米粘土和粘土小體的zeta電位的直方圖。插圖顯示了姜黃素在乙醇中的分散,納米粘土在水中的分散,以及由納米粘土在無水乙醇環境中穩定的姜黃素納米顆粒組裝而成的粘粒結構(顏色的變化(插圖中所示)清楚地表明了姜黃素和納米粘土之間的相互作用)。(B) 粘土小體組裝的zeta電位隨納米粘土濃度的變化。這清楚地表明了在較低濃度的納米粘土中組裝的穩定性。箭頭表示粘土成分。
圖4示意圖顯示了在電暈中存在納米粘土團和限制在疏水核內的疏水姜黃素納米顆粒的粘土體結構的形成。
3.1理論模型
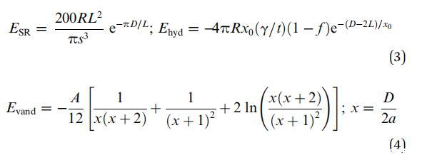
納米粘土和姜黃素納米顆粒的自組裝示意圖如圖4所示。自組裝的形成是復雜系統中不同作用力之間平衡的結果。系統的總能量Etotal是系統中的吸引能Ea和排斥能Er之和,由下式給出:
兩種平衡力在組裝的形成中起著重要作用:由兩種粒子之間的界面力控制的疏水相互作用,以及納米粘土團簇和系統疏水環境之間的空間斥力。因此,復雜核-殼(粘土小體)組裝的總能量由以下三個貢獻的總和給出:相鄰納米粘土團簇之間的空間斥力(ESR)、9疏水力(Ehyd)、9和范德華力(Evand):34
這三項個人貢獻可以寫成:
因此,總相互作用能由下式給出:
式中,R是單個姜黃素納米顆粒的尺寸;a是姜黃素簇的大小(核心);L是粘土團(電暈)的尺寸;s是納米粘土簇之間的距離(或納米粘土簇的足跡直徑),如圖4所示;x0是疏水力的衰減長度;g是LAPONITE®和姜黃素混合體系中的界面張力;t為核內疏水姜黃素和殼內水相中有機(醇)相形成的界面區厚度;f定義系統中的疏水度,其中f?1表示零疏水性,這意味著水的純溶劑,f?0對應于具有最大疏水性的系統,這是指乙醇;A是Hamaker常數。34,35粘土體結構的給定自組裝僅在乙醇和水的1:1混合比下形成,因此f?0.5,相應的界面表面張力(測量)為g?40 mN m-1。通過SEM測量,姜黃素納米顆粒的大小及其簇大小分別為R?50 nm和a?150 nm。
3.2堆芯和外殼之間接口區域的作用
疏水核(有機)和親水殼(水)之間的界面區域對穩定組裝的形成起著重要作用。它維持排斥能屏障,抵抗核心內存在的吸引疏水能。屏障抑制姜黃素納米顆粒的聚集,并支持所形成的粘土小體組裝(或核殼納米顆粒)的穩定性。該勢壘對電暈中納米粘土團簇的尺寸高度敏感。圖5(A)和6(A)顯示了總能量隨界面區域厚度的變化。勢壘高度隨納米粘土團簇長度的增加而增加,隨足跡直徑的減小而減小。當L>80nm和s<30nm時,它變得高度排斥。
計算了粘粒結構(納米粘土-納米顆粒相互作用)之間的相互作用能,作為粒子間距離的函數。它顯示了深度極小值,如圖5(B)和6(B)所示。能量景觀中的極小值表示粘粒結構組裝的穩定性。某些粘土結構可能在與長程最小值相當的距離處形成松散的絮凝物,但這些絮凝物可能會重新分散。圖5(B)和6(B)顯示了復雜系統的能量隨納米粘土團簇(L和s)尺寸的變化。這清楚地表明,極小值的深度隨著納米粘土團簇(L)長度的增加而減小。當L<40 nm時,能量具有高度吸引力,因此形成排斥勢壘(電暈)所需的納米粘土團簇的最小長度為40 nm。當L>80nm時,能量變得高度排斥,沒有極小值。因此,只有當納米粘土片形成尺寸為40
圖5納米粘土簇的長度對粘土小體組裝的影響。(A) 作為界面區域厚度函數的能量變化(s?60 nm;T?298 K,f?0.5;姜黃素納米顆粒半徑R?50 nm,疏水衰減長度x0?1 nm,界面張力?40 mN m-1)。(B) 粘粒–粘粒相互作用作為粒間分離D的函數,使用方程(5)計算。當存在大的納米粘土團簇時,能量最小值的深度減小,當L>80nm時,能量變得完全排斥。





