合作客戶/
拜耳公司 |
同濟大學 |
聯合大學 |
美國保潔 |
美國強生 |
瑞士羅氏 |
相關新聞Info
-
> 無堿的陰離子-非離子表面活性劑界面張力測定及驅油效率評價
> KibronLB膜分析儀研究自組裝肽在制造定制螺旋狀納米結構中的應用
> 添加不同量阿維菌素Silwet 408對阿維菌素微乳劑藥液表面張力的影響——摘要、材料與方法
> 界面張力作用下開發MAPbBr3鈣鈦礦單晶制備方法
> 誘導期測定法研究NaCl的添加對碳酸鋰固-液界面張力等成核動力學參數影響——結果與討論
> 不同質量分數的EMI溶液的表面張力測定【實驗下】
> 篩選常用、經濟且可抑制低階煤煤塵的表面活性劑(三)
> ?表面張力大容易潤濕嗎,表面張力的影響因素有哪些
> 氣體富集、雜質對固-液界面納米氣泡接觸角的影響——結果與討論、結論
> 新型POSS基雜化泡沫穩定劑表面張力測定及對泡沫壓縮性能的影響(一)
推薦新聞Info
-
> 耐擦刮無膠消光膜制備方法、高表面張力與收解卷順暢性的平衡(二)
> 耐擦刮無膠消光膜制備方法、高表面張力與收解卷順暢性的平衡(一)
> 利用超微量天平制備微孔淀粉處理含Cu(II)離子染料廢水
> 不同類型的堿、pH值對孤東油田原油界面張力的影響(下)
> 不同類型的堿、pH值對孤東油田原油界面張力的影響(上)
> 不同結晶結構的脂肪晶體顆粒界面自組裝行為、儲藏穩定性研究
> 新型POSS基雜化泡沫穩定劑表面張力測定及對泡沫壓縮性能的影響(三)
> 新型POSS基雜化泡沫穩定劑表面張力測定及對泡沫壓縮性能的影響(二)
> 新型POSS基雜化泡沫穩定劑表面張力測定及對泡沫壓縮性能的影響(一)
> 多功能膜材研發:界面張力已成為整套工藝鏈協同下動態演化的核心控制點
基于天然植物油的酰胺胺氧化合物的合成表征及表面性質——結果和討論
來源:上海謂載 瀏覽 2383 次 發布時間:2021-10-11
三、結果與討論
3.1 天然植物油酰胺胺的制備與表征 氧化物
蓖麻油酰胺氧化胺的通式及合成方法 棉籽油酰胺氧化胺見Scheme 1。
方案1 蓖麻油酰胺氧化胺和棉籽油酰胺的合成路線 氧化胺,其中R是蓖麻油和棉籽油的烷基鏈
衍生的氧化胺 6 來自天然植物油的也是一系列具有不同成分的化合物的混合物 烷基,其特征在于它們的 MS (g 1, 2) 和 IR 光譜(圖 3)。 這些光譜特征的細節如下。 在所有情況下,光譜 獲得的與這些化合物的指定結構一致。
圖 1. 蓖麻油酰胺氧化胺的質譜圖
圖 2. 棉籽油酰胺氧化胺的質譜圖
圖 3. 蓖麻油酰胺氧化胺和棉籽油酰胺胺的紅外光譜 氧化物
蓖麻油酰胺氧化胺:質譜,m/z=385.0、367.2、369.2和371.4分別為 歸因于蓖麻油酰氧化胺(C18:1,含-OH)、亞油酰氧化胺 (C18:2)、油酰氧化胺 (C18:1) 和硬脂酰氧化胺 (C18)。 紅外光譜 光譜 (KBr):3370.43 cm-1 處的譜帶 對應于NH的伸縮振動 和-哦。 2923.92 cm-1 處的伸縮帶 和 2855.27 cm-1 表征 –CH3 和-CH2 基團。 1,654.21 cm-1 處的伸縮帶 表征 C=O 和 C=C 組。 1568.55 cm-1 處的伸縮帶 表征 NH 基團,帶在 1465.28 厘米 -1 分配給 C-H 的彎曲振動。 1271.07 的伸縮帶 厘米-1 表征 C-N 組。 條帶出現在 957.85 cm-1 對應于 N-O 的伸縮振動,表明氧化胺的形成。
棉籽油酰胺氧化胺:質譜,m/z:亞油酰氧化胺 (C18:2): 367.2, [M+H] + ; 棕櫚酰氧化胺 (C16): 343.2, [M+H]+ ; 油酰氧化胺 (C18:1):391.1,[M+Na]+; 硬脂基棕櫚油酰氧化胺 (C16:1):379,[M+K]+。 紅外光譜 光譜 (KBr):3364.56 cm-1 處的譜帶 對應于NH的伸縮振動 和-OH的殘留水。 2923.92 cm-1 處的伸縮帶 和 2855.27 cm-1 表征 –CH3 和 –CH2 基團。 1,654.21 cm-1 處的伸縮帶 表征 C=O 和 C=C 基團。 1562.68 cm-1 處的伸縮帶 表征 NH 基團,以及 1459.42 cm-1 處的譜帶 分配給 C-H 的彎曲振動。 1276.35 cm-1 處的伸縮帶 表征 C-N 組。 樂隊出現在 963.52 厘米-1 對應于 N-O 的伸縮振動,表明氧化胺 形成。
3.3 表面活性
表面張力與氧化胺濃度(log c)的關系 圖 4 繪制了 25 oC 下源自天然植物油的表面活性劑。 圖 4 表面張力與表面活性劑對數的斜率有顯著變化 濃度曲線,表明表面活性劑開始聚集成膠束 在大量水溶液中。
圖 4. 表面張力與水溶液摩爾濃度的對數 蓖麻油酰胺氧化胺和棉籽油酰胺氧化胺在 25攝氏度
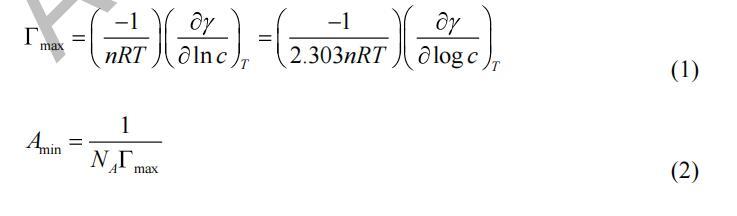
通過分析平臺獲得最小表面張力(γCMC)值 地塊的區域。 確定臨界膠束濃度 (CMC) 值 從表面張力的斷點與濃度的對數 曲線。 最大表面過量濃度(Γmax)和最小表面積 (Amin) 在空氣/水界面被每個表面活性劑分子占據的計算公式為 吉布斯吸附方程:
其中 R 是氣體常數,NA 是阿伏伽德羅數,T 是絕對溫度,并且 n 是溶質種類的數量,我們可以將其設置為 1。 膠束化的自由能 (ΔGmic) 由等式 (3) 計算。
γCMC、CMC、Γmax、Amin 和 ?Gmic 的值匯總在表 2 中。
表 2 蓖麻油氧化胺和棉籽油氧化胺的界面參數 25℃
由表2可知,蓖麻油酰胺氧化胺和棉籽油酰胺 氧化胺將水的表面張力降低到最小值約 在 5.06×10-5 mol/L 的濃度下為 32.48 mN/m,在 5.06×10-5 mol/L 的濃度下為 36.53 1.23×10-4 mol/L,表明它們的表面活性很高。 和....相比 一些已報道的氧化胺表面活性劑,[12] 如十六烷基二甲基 氧化胺、十八烷基二甲基氧化胺和椰油酰胺丙基二甲基胺 氧化物等,其CMC值通常在10-4范圍內 ~10-3 mol/L, 這些 CMC 值較低。 這可能是因為幾種酰胺的混合物 氧化胺具有協同增強的作用,提高了表面 活動總體上。 還可以發現,蓖麻油的 CMC 和 γ(CMC) 值 酰胺氧化胺遠低于棉籽油酰胺氧化胺,后者 可能是由于蓖麻油酰胺氧化胺中存在-OH。 [13] 在 另外,從表 2 中的數據可以看出,蓖麻油的Γmax 值 酰胺氧化胺低于棉籽油酰胺氧化胺,而 前者的Amin值大于后者。 這一結果可能歸因于 烷基鏈的長度。 此外,ΔGmic 的負值表明 9 在 25 oC 時,膠束化是自發的,這意味著這兩種天然植物油 酰胺胺氧化物在空氣-水界面有極好的吸收能力 在溶液中形成膠束。
3.4 乳化力
兩種不同的液體短語不能混合在一起的現象是 由于表面活性劑的作用而能夠混合的稱為乳化。 這 乳化機理可以解釋:表面活性劑的兩親特性 使其易于在油水界面吸附和富集,從而減少界面 張力并改變界面狀態,所以"油"和"水"這兩個詞可以 不能混在一起,可以混在一起。 蓖麻油酰胺氧化胺與棉籽油酰胺的水分離時間 氧化胺列于表3中。
表3 合成的植物油酰胺氧化胺水分離時間 和對照樣品 1202 和 AES
為了比較,還列出了正十二烷基二乙醇胺(1202)和醇醚硫酸鈉(AES)的水分離時間。 從表 3 可以看出,在表面活性劑濃度為 0.1% 時,蓖麻油酰胺 氧化胺和棉籽油酰胺氧化胺有更長的水分離時間 比AES,這意味著合成的兩種天然植物油酰胺胺 氧化物具有良好的乳化能力,尤其是蓖麻油酰胺氧化胺。 這 棉籽油酰胺氧化胺的乳化能力與1202相近。 還發現蓖麻油氧化胺的乳化能力優于蓖麻油氧化胺 棉籽油氧化胺,這也歸因于平均烷基鏈長。 [14] 此外,作為乳化劑,它們可以在較寬的pH范圍內使用。
基于天然植物油的酰胺胺氧化合物的合成表征及表面性質——摘要、介紹
基于天然植物油的酰胺胺氧化合物的合成表征及表面性質——實驗程序
基于天然植物油的酰胺胺氧化合物的合成表征及表面性質——結果和討論
基于天然植物油的酰胺胺氧化合物的合成表征及表面性質——結論、致謝!





